• <uefhm class="rawcbga"></uefhm>
  • 青青草在线播放,WWW青青草下载,青青草原APP下载,青青草污污污APP下载

    微信谘詢

    400-888-5135

    3nh@3nh.com

    儀器百科

    CIE1976(L*a*b*)色空間與色差公式

    發布時間:2023-10-23 17:38:04  

    為獲得視覺上較均勻的顏色空間,CIE推薦CIE1976(L*a*b*)色空間和CIE1976(L"u*v*)色空間,並分別規定了色差計算方法。本文主要介紹了CIE1976(L*a*b*)色空間.。

     CIE1976(Lab)色空間.

    注:本章中用腳標0和1代表用於色差比較的兩個樣品。

    1. 基本坐標

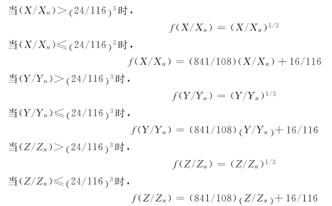
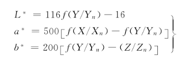
    近似均勻的CIELAB三維色空間由直角坐標L*,A*,b*構成,L*,A*,b*由式(2)確定:

    CIE1976色差公式(2)

    式中:

    X、Y、Z——被測物體色刺激在CIE1931標準色度係統中的三刺激值X、Y、Z,或在CIE1964標準色度係統中的三刺激值X10、Y10、Z10

    Xn、Yn、Zn——給定的白物體色刺激的三刺激值。

    CIE1976色差公式(1)

    在通常情況下,給定的白物體色刺激是指與被測物體色在相同的光源照明下,完全漫反射體反射到觀察者眼中的色刺激,其三刺激值在數值上即為照明光源或照明體的三刺激值。

    CIE照明體在CIE1931標準色度係統中的三刺激值X,、Y、Z,見表1。

    CIE1976(Lab)色空間.2

    CIE照明體在CIE1964標準色度係統中的三刺激值X10、Y10、Z10見表2。

    CIE1976(Lab)色空間.3

    CIELAB色空間示意圖見圖2。

     

    2. 明度、彩度和色調

    CIELAB色空間中與明度、彩度和色調近似相關的量和計算公式分別是:

    1)CIE1976明度L*,計算方法同式(2)中L*。

    2)CIE1976 a,b彩度(簡稱CIELAB彩度)C*ab ,計算方法如下:

    CIE1976色差公式(9)

    3)CIE1976 a,b色調角(簡稱CIELAB色調角)hab,計算方法如下:

    CIE1976色差公式(10)

     

    3. 色差計算

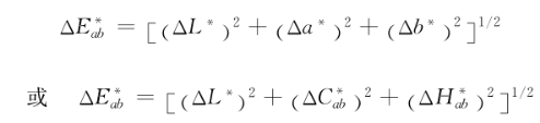
    1)兩個顏色樣品的CIE1976 a,b色差(簡稱CIELAB色差)ΔE或計算方法如下:

    CIE1976色差公式(11)

    式中,△L* 是CIELAB明度差,△a*、△b* 是CIELAB色品指數差,計算方法見式2);ΔC高是CIELAB彩度差,計算方法見式3);△H高是CIELAB色調差,計算方法見式5)或式6)。

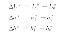
    2)CIELAB明度差和色品指數差:

    CIE1976色差公式(13)

    3)CIELAB彩度差:

    CIE1976色差公式(14)

    4)CIELAB色調角差:

    CIE1976色差公式(15)

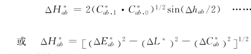
    5)CIELAB色調差:

    CIE1976色差公式(16)

    對於不在無彩色軸上的小色差,ΔH*ab 可以按下列式子計算:

    CIE1976色差公式(18)

    式中,Δhab的單位是弧度。

    注1:ΔH*ab 與Δhab的正負符號相同。

    注2:當Δhab的絕對值趨近180度時,可不必計算CIELAB色調差和彩度差。

     


    在線客服
    聯係方式
    • 400-888-5135
    • 3nh@3nh.com
    網站地圖