• <uefhm class="rawcbga"></uefhm>
  • 青青草在线播放,WWW青青草下载,青青草原APP下载,青青草污污污APP下载

    微信谘詢

    400-888-5135

    3nh@3nh.com

    儀器百科

    CIE色度圖的另類解讀

    發布時間:2024-05-20 17:18:16  

    色度圖是黑體軌跡的函數表達式v=f(u)在色度學中以色度坐標表示的平麵圖。關於CIE色度圖,有一個很直觀的解讀,一起來看看吧

    CIES色度圖

    黑體不同溫度的光色變化在色度圖上又形成了一個弧形軌跡這個軌跡叫做普朗克軌跡或黑體軌跡。

    色度學係統的應用隨著人們交流、傳輸、研究顏色信息的需要已經建立了多種各具特色的表色係統本研究采用了CIE1931標準色度學係統和CIE1976均勻色空間。

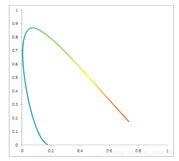
    從380nm到780nm的光譜色在CIE 1931 RGB色度圖上的軌跡長這樣:

       CIES色度圖的另類解讀   

    而所有人眼能識別出來的顏色,都由單色光相加而成,因此上圖曲線上的任意兩點畫出來的線段所覆蓋的範圍,就是“人眼能看見的所有顏色”的區域大小。這就是人眼分辨能力的極限。

    把這個區域用彩色填充出來,就長這樣:

     CIES色度圖的另類解讀2

    注意看,下麵的這條直線,是380nm和780nm的連線。它構成了色域的另一個邊界。

    不過,上麵邊界的曲線是和單色光一一對應的,而下麵邊界的這條直線卻沒有單色光對應,而是兩個光譜色的混合色軌跡。因為它是紅色和藍色的混合,所以主要是紫色的。這意味著,沒有單色光形成的紫色。所有帶紫的顏色,什麽紫紅色,品紅色,都是所謂的“譜外色”。(這是不是就是紫色讓人感到神秘的原因呢?)

    任何兩個單色光混合的新顏色,要麽就正好踩在光譜軌跡上,要麽就在光譜軌跡包圍的麵積之內,絕不會跑到外麵去。

     CIES色度圖的另類解讀3

    經過CIE的刻意設計,當XYZ三刺激值達到一個均衡狀態的時候,就會形成白色。位於(x=0.3333, y=0.3333)位置的點,代表著三原色各占1/3,就是一個理想的等能白光E。中間這一大片,都是各種不同的白色。也就是是飽和度為0的消色(可能是黑色,也可能是白色)。

    其中,除了專門用於理論研究的、假想出來的等能白光E點之外,還有個非常重要的白點:C點。它的全稱是CIE標準光源C,相當於中午陽光的顏色。(注意看一下上圖,光源C和E的位置相隔不遠,C略比E色溫高一點。)

     CIES色度圖的另類解讀4

    顏色三屬性

    那麽從色度圖上,如何看顏色的三屬性呢?

    1. 色相(主波長)

    假設現在有一個顏色點Q。

    由C通過Q作一直線至光譜軌跡,相交於S點,此時就稱Q顏色的主波長為S。S的色相就是Q的色相(一個近似,不完全準確)。

     CIES色度圖的另類解讀5

    2. 純度(飽和度)

    Q離開C點(或者E點)、接近光譜軌跡的程度,稱為純度,約等於飽和度。

    從圖上可以看出,越靠外的顏色點,越接近飽和度最高的光譜色。所以顏色的飽和度是越靠近邊界越高,越靠近白點越低。

    3. 明度

    至於明度嘛。。。色度圖是一個二維的圖對不對?而色空間是一個三維空間,所以色度圖是不包含明度信息的。

    也就是說,色度圖的坐標,標注的是RGB三原色之間的比例,是相對大小,不是絕對大小。白色和黑色對它來說坐標一樣,所有低明度的顏色在色度圖上都沒有,這一點要注意。

    色域

    青青草在线播放已經知道,G和B形成的混合色,顏色坐標會在G和B的連線上。反過來說,G和B的連線上所有的顏色,都可以由G和B混合實現。

    那麽,如果再添加一個R光,就會在色度圖上形成一個三角形對不對?這個三角形裏的所有的顏色,都可以通過RGB三色的混合而形成。這不就是RGB加法色的色域嗎?

    這個三角形麵積越大,能顯示的顏色也就越多。

    但是,不管如何選擇RGB三原色的坐標點,都不可能覆蓋整個CIE色域。這就是光譜軌跡的形狀所決定的。

    因此采用三原色混合色生成人眼能看到的所有顏色,從理論上來說就是不可能的。

     CIES色度圖的另類解讀6

    為了讓顯示器達到更大的色域,隻能盡量讓RGB三原色的坐標越靠外越好,也就是RGB三原色的飽和度越高越好。

    But,由於材料物理特性的限製,飽和度提高,亮度就會相應的下降。想要亮度不下降,就得加錢。所以,一個商業用的顯示器,色域一定是綜合考慮飽和度、亮度、成本的折中方案。

    還有一種擴大色域的方案,就是增加一個原色,從三角形變成四邊形。多年以前,Sharp曾經在的他家的電視上推出了“四色技術”,在RGB的基礎上增加了黃色。從實物的效果看,的確很讚!除了貴沒別的缺點。

     CIES色度圖的另類解讀7

    冷知識

    其實不同的觀察者,對顏色的感覺是不一樣的。比如年齡就會影響人對顏色的感覺。

    所以顏色匹配試驗的數據,是對很多人的測試數據取平均,代表了人眼的平均顏色視覺特性。

    這個實際上不存在的、代表中值水平的觀察者,被叫做“標準色度觀察者”。

    所以如果你覺得自己的顏色感覺和CIE有那麽一丟丟不一樣,其實是正常的。


    熱門標簽:解讀色度圖CIE色度圖
    在線客服
    聯係方式
    • 400-888-5135
    • 3nh@3nh.com
    網站地圖