最初的孟塞爾係統經過一段時間使用後,發現它的顏色樣卡在編排上不完全符合視覺上等距的原則,1937年美國光學協會色度學委員會成立了一個專門研究孟塞爾係統的分會,經過了6年實驗研究,進行光譜光度測定、觀察、判斷近幾百萬人次,於1943年製定出《孟塞爾新標係統》。
重新編排並增補了圖冊中的色卡,使修正後的色卡在編排上更接近視覺上等距的原則,且對每一張色卡都可給出相應的CIE 1931標準色度係統的色品坐標。這個新標係統的顏色樣卡代表在 CIE 標準光源C照明下可製出的所有表麵色(非熒光材料)。新標係統的明度值及色調、彩度均建立在大量實驗的基礎上。
孟塞爾新標係統的明度值等級是通過視覺實驗得到。方法有二:①讓實驗觀察者在一係列明度不同的中性灰色及黑、白樣卡中選出一塊樣卡,要求其正好在視覺上居於黑、白係列的正中間,即選一塊灰色樣卡將黑白係列二等分;然後再在黑與灰卡和白與灰卡的正中間各選一個灰卡,即在視覺上將白、黑係列分出四個相等的距離,如此繼續等分下去,就得到一個由黑到白多等級的均勻灰度係列。②從黑卡開始,選出一塊在明度上怡可覺察出區別的灰卡,以此灰卡為基礎,再挑選出剛可看出明亮不同的第二塊灰卡,如此一直挑選至白卡為止。用這兩種方法將明度值分為11個等級,並用光譜光度法測出各明度等級樣卡的亮度因數Y,發現明度值V與Y值之間的關係是非線性的,可用多項式表示
該式觀察條件為中灰色(Y=20%)背景。V=10代表理想漫射體的明度值。由於實際測量的Y值都是以氧化鎂為標準進行測量,規定氧化鎂的亮度因數為100%,而實際氧化鎂的反射比隻為97.5%左右,因此出現V=10時,Y=102.57%的情況。
由於過於繁雜,以上模型不便應用,1964年CIE采用威澤斯基的立方根模型代替,即其中,W*是 CIE 1964均勻顏色空間的明度指數。W*/10在亮度因數Y從1~100 範圍內與前述五次多項式的V值很一致,即
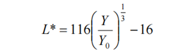
W*=10V。1976年CIE 修改立方根模型為
其中,*是CIE 1976均勻顏色空間的米製明度,Y為理想漫射體的亮度因數,Yo=100。
在新孟塞爾顏色係統中,明度值相同的樣卡處在顏色立體的同一平麵上,它們之間隻有色調和彩度的差異。以中央軸上的灰色樣卡作為參照標準,在各種色調的樣卡中挑出具有同一彩度等級的各種顏色卡片(例如/6),排列成一個恒定彩度圈,其色調在視覺上仍然不是等距的。為此,在同一彩度等級的色卡圈上,選出少量具有視覺上相等差距的不同色相,譬如五個主要色調紅(R)、黃(Y)、綠(G)、藍(B)、紫(P),將它們保留在圈上,然後再在這一圈上評定出各主要色調之間的中間色調,得出10個視覺上等距的色調,以此繼續下去直到得出視覺上等距的各種色調。再根據這些色調,將此明度值平麵上的各種色卡分成組,使每組內的各色卡都有相同的色調。
在每組色卡中選定某一色卡,將其離中央灰色的彩度差作為標準,評定出彩度大於(或小於)這個差別一倍、兩倍和更大倍數的色卡,直到將同一色調的色卡都排列進去為止。這樣就以視覺上等距的原則,將同明度值的色卡按色調和彩度排列起來。同樣對不同明度等級的其它色卡也按此法排列,得到不同明度值的色卡按色調和彩度排列圖。
將各色卡通過光譜光度測量,測出它們的光譜反射特性曲線,進一步計算在C光源照明下 CIE 標準色度係統的Y,x,y值。將這些數值標誌在 CIE 色品圖上,每張色卡在CIE色品圖上有一個固定的位置。對應於一個明度值的各種色卡可在一張色品圖上表示出來,從明度值為1至9可繪製出九張色品圖。在一張色品圖上,相同彩度的色卡在色品圖上的位置連成的軌跡圈稱為恒定彩度圈,相同色調的色卡在色品圖上的位置連成的軌跡稱為恒定色調軌跡。圖給出表麵色在 CIE1931年色品圖上的恒定色調軌跡和恒定彩度軌跡圈(注意不是同心圓,說明CIE色品圖不是視覺上等距的顏色係統)。
由實驗繪製出的孟塞爾色卡的 CIE 色品圖上的恒定色調和恒定彩度軌跡曲線,經過調整,使色卡的軌跡更接近於平滑曲線,得到某一明度值的恒定色調和恒定彩度軌跡的色品圖。孟塞爾標號與 CIE 標準色度係統的色品坐標及丫值的對應關係表見附表4-1,表中的xy,Y值是對應在 CIE 的C光源照明下孟塞爾色卡的值。
分析對比不同明度值的色品圖可以看出,在中等明度值4/-6/時(亮度因數Y=12~30%),有產生最大飽和度表麵色的可能性,而在明度值9/時(亮度因數Y=79%),不可能有非常飽和的表麵色,特別是藍、紫、紅部分更是如此。從明度值5/到1/隨著明度值的降低,每一恒定彩度軌跡圈急劇增大,意味著人眼分辨飽和度的能力隨明度的降低而降低。明度值1/或2/時,色品圖黃、綠部分隻剩下很少幾個恒定彩度軌跡圈,表明在低明度時,黃、綠色也不可能有很大的飽和度。同時低明度的表麵色,雖然在黃綠部分的色品坐標有較大變化時,但飽和度的變化卻很小。