• <uefhm class="rawcbga"></uefhm>
  • 青青草在线播放,WWW青青草下载,青青草原APP下载,青青草污污污APP下载

    微信谘詢

    400-888-5135

    3nh@3nh.com

    行業應用

    色牢度計算公式有哪些?

    發布時間:2025-08-28 17:46:15  

    色牢度計算公式主要用於量化紡織品在外部因素(如洗滌、摩擦、光照等)作用下的顏色變化程度。以下是不同色牢度類型的關鍵計算公式及說明:

     

    色牢度


    一、變色牢度(Color Change)計算公式

    變色牢度通過計算試樣處理前後的色差(ΔE)來評定,核心公式包括:

    1. CIELAB 基礎色差公式

    色差計算公式

    參數:

    ΔL *:明度差(正值為變亮,負值為變暗)

    Δa * :紅綠色度差(正值為偏紅,負值為偏綠)

    Δb *:黃藍色度差(正值為偏黃,負值為偏藍)

    應用:通用基礎公式,但均勻性較差,適用於初步色差評估。

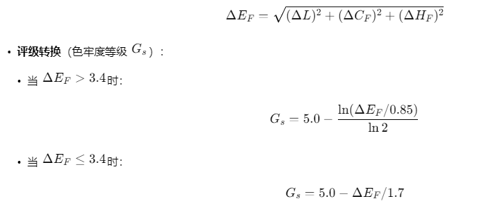
    2.改進色差公式(ΔEF)

     色牢度計算公式3

    特點:優化色差計算,更貼合視覺感知,用於儀器評級。

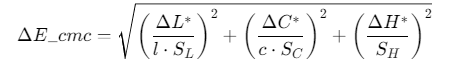
    3. CMC(l:c) 公式(紡織業主流)

     色差計算公式2

    權重因子:

    SL、SC、SH隨顏色位置動態調整;

    紡織行業常用 l=2,c=1(即CMC(2:1),強調明度差異的容忍度高於色度

     

    二、沾色牢度(Staining)計算公式

    沾色牢度通過貼襯織物的汙染程度評定,核心方法為:

    1.灰度評級法

    使用 灰度沾色樣卡(GB/T 251)目視比對貼襯織物沾色程度,分為5級(5級無沾色,1級嚴重沾色)。

    2.儀器量化法

    測量貼襯織物的色差值(ΔE),再轉換為沾色等級,公式同變色牢度的ΔE計算。

     

    三、注意事項

    1.光源與環境:測量需在 D65標準光源 下進行,避免環境光幹擾。

    2.分項指標解讀:除總色差ΔE外,需分析ΔL*、ΔA*、ΔB*等分項,明確變色方向(如偏紅或變暗)。

    3.臨界值處理:當ΔE接近等級邊界時(如ΔE=1.5對應4級),需結合 目視複核 確定最終等級。

    4.公式局限性:CMC公式對高彩度色(如熒光色)的適用性較低,需改用 CIEDE2000 等高級模型。

     


    在線客服
    聯係方式
    • 400-888-5135
    • 3nh@3nh.com
    網站地圖